![]() |
![]() |
![]() |
![]() |
![]() |
![]() |
![]() |
Der Frequenzgang eines offenen Regelkreises wird durch die komplexe Funktion

gegeben. Tragen Sie die Kurve in der komplexen Zahlenebene auf.
Lösung:
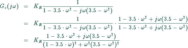
Man muß durch eine geeignete Umformung die Funktion in folgende Form bringen:

Das erreicht man durch Multiplikation mit
.
Dann ergibt sich

Daraus folgt für den Realteil

und für den Imaginärteil

Trägt man diese Größen in der Gaußschen Zahlenebene als Funktion von
auf, so ergibt sich die folgende Abbildung:
Diese Aufgabe läßt sich sehr gut mit Mathematica bzw. MapleV lösen.
Mathematica
f[t_]:=Re[2/(1-3.5 t^2-I t(3.5 -t^2))];
g[t_]:=Im[2/(1-3.5 t^2-I t(3.5 -t^2))]
ParametricPlot[{f[t],g[t]},{t,-5,5}]
MapleV
f(t):=2*(1-3.5*t^2)/((1-3.5*t^2)^2+t^2(3.5-t^2)^2); g(t):=2*t(3.5-t^2)/((1-3.5*t^2)^2+t^2(3.5-t^2)^2); plot([f(t),g(t),t=-5..5]);