![]() |
![]() |
![]() |
![]() |
![]() |
![]() |
![]() |
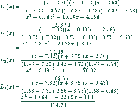
An folgenden Meßwerten ist eine Interpolationskurve anzupassen
Lösung:
Es gilt

Für die Koeffizienten erhält man

Damit ergeben sich für die einzelnen Summanden

Die Addition dieser Summanden ergibt

Das Interpolationspolynom nach Newton ist dritten Grades und lautet

Die Koeffizienten können schematisch berechnet werden

Damit werden die Koeffizienten

Das Newtonsche Interpolationspolynom lautet:


Bei den Interpolationsaufgaben sind Mathematikprogramme wie Mathematica oder MapleV besonders nützlich.
Mathematica
y:=InterpolatingPolynomial[{{-7.32,204.88},{-3.75,28.75},
{0.43,8.23},{2.58,20.45}},x]
Expand[y]
MapleV
interp([-7.32,-3.75,0.43,2.58], [204.88,28.75,8.23,20.45],x);
Mathematica benutzt dabei das Newtonverfahren.
Die Abbildung
zeigt die Anpassung der Interpolationskurve
an die Meßwerte.