![]() |
![]() |
![]() |
![]() |
![]() |
![]() |
![]() |
Ermitteln Sie von den folgenden Funktionen die erste Ableitung über Differenzenquotientenbildung:


Lösung:

Damit kann man die Differenz
bilden

Der Differenzenquotient errechnet sich dann zu

Der Grenzübergang
liefert die erste Ableitung


Für die Cosinus- und Sinusfunktion mit dem Argument
verwenden wir die
Potenzreihen

bzw.

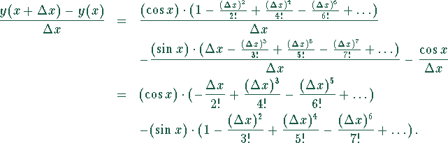
Damit ergibt sich für den Differenzenquotienten

Der Grenzübergang
liefert die erste Ableitung
