![]() |
![]() |
![]() |
![]() |
![]() |
![]() |
![]() |
Ein Unternehmen erwirtschaftet in einem Zeitraum
einen Ertrag von
. Zu einem gewissen Zeitpunkt geht in das Unternehmen ein Ertrag
ein. Er wird der Ertragsstrom genannt. Zwischen Ertragsstrom und
Ertrag besteht die Beziehung

D.h., der Ertragsstrom ist die erste Ableitung des Ertrages.
Wird der Ertragsstrom stetig auf ein Konto mit der Zinsrate
eingezahlt, so ist der Kontostand nach T Jahren

Der Barwert des Kapitalstromes, das ist die Geldmenge, die zum Zeitpunkt
eingezahlt werden muß, um bei stetiger Verzinsung den gleichen Endbetrag
zu erhalten, ergibt sich zu

Geht man von einem Kapitalstrom von
aus und legt eine Zinsrate
von
zu Grunde, so erhält man

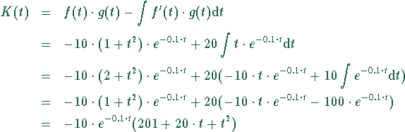
Das Integral kann mit Hilfe der partiellen Integration gelöst werden.
Dabei ist es zweckmäßig
und
zu setzen.
Dann ergibt sich

Der Kapitalsstrom wächst nach der Zeit T auf
